Notice
Recent Posts
Recent Comments
Link
| 일 | 월 | 화 | 수 | 목 | 금 | 토 |
|---|---|---|---|---|---|---|
| 1 | 2 | 3 | 4 | 5 | 6 | 7 |
| 8 | 9 | 10 | 11 | 12 | 13 | 14 |
| 15 | 16 | 17 | 18 | 19 | 20 | 21 |
| 22 | 23 | 24 | 25 | 26 | 27 | 28 |
| 29 | 30 | 31 |
Tags
- SWEA
- 2020 카카오 인턴십
- Level 3
- 백준
- 삼성 SW 역량 테스트
- level 1
- 구현
- 그리디
- 월간 코드 챌린지
- Web
- Gold 5
- 브루트포스
- Level 2
- 프로그래머스
- pass
- 시뮬레이션
- 부스트코스
- Gold 4
- 코드 리뷰
- c++
- 2020 KAKAO BLIND
- 백트래킹
- DP
- BFS
- 2019 KAKAO BLIND
- next_permutation
- DFS
- 스택/큐
- Level 4
- 코드리뷰
Archives
- Today
- Total
Min:D's Devlog
[프로그래머스][그래프][C++] 가장 먼 노드 본문
문제
프로그래머스 그래프 - 가장 먼 노드
코딩테스트 연습 - 가장 먼 노드
6 [[3, 6], [4, 3], [3, 2], [1, 3], [1, 2], [2, 4], [5, 2]] 3
programmers.co.kr
문제 설명
n개의 노드가 있는 그래프가 있습니다. 각 노드는 1부터 n까지 번호가 적혀있습니다. 1번 노드에서 가장 멀리 떨어진 노드의 갯수를 구하려고 합니다. 가장 멀리 떨어진 노드란 최단경로로 이동했을 때 간선의 개수가 가장 많은 노드들을 의미합니다.
노드의 개수 n, 간선에 대한 정보가 담긴 2차원 배열 vertex가 매개변수로 주어질 때, 1번 노드로부터 가장 멀리 떨어진 노드가 몇 개인지를 return 하도록 solution 함수를 작성해주세요.
제한사항
-
노드의 개수 n은 2 이상 20,000 이하입니다.
-
간선은 양방향이며 총 1개 이상 50,000개 이하의 간선이 있습니다.
-
vertex 배열 각 행 [a, b]는 a번 노드와 b번 노드 사이에 간선이 있다는 의미입니다.
입출력 예
| n | vertex | return |
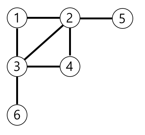
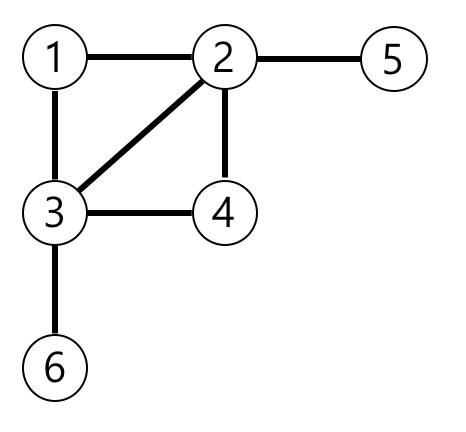
| 6 | [[3, 6], [4, 3], [3, 2], [1, 3], [1, 2], [2, 4], [5, 2]] | 3 |
입출력 예 설명
예제의 그래프를 표현하면 아래 그림과 같고, 1번 노드에서 가장 멀리 떨어진 노드는 4,5,6번 노드입니다.

문제 풀이
접근 방식
1번 노드에서 가장 먼 노드를 구하는 문제이기 때문에 BFS 방식으로 문제를 풀었다.
1번 노드에 연결된 노드들 → 그 노드에 연결된 노드들 → ···
이런 식으로 연결된 노드들의 최장 거리 단계에서의 총 노드 개수를 구하면 된다.
문제에서는 간선으로 정보를 줬기 때문에 이를 활용하여 인접 행렬을 먼저 만들었다.
그 후 큐를 사용하여 BFS 탐색을 수행하였다.
풀이 코드 - C++
#include <vector>
#include <queue>
using namespace std;
int solution(int n, vector<vector<int>> edge) {
vector<vector<bool>> graph(n, vector<bool>(n));
int len = edge.size();
for (int i = 0; i < len; i++) {
graph[edge[i][0] - 1][edge[i][1] - 1] = 1;
graph[edge[i][1] - 1][edge[i][0] - 1] = 1;
}
queue<int> q;
q.push(0);
vector<bool> visited(n);
visited[0] = 1;
int len_q;
while (!q.empty()) {
len_q = q.size();
for (int a = 0; a < len_q; a++) {
int start = q.front();
q.pop();
for (int i = 1; i < n; i++) {
if (!visited[i] && graph[start][i]) {
q.push(i);
visited[i] = 1;
}
}
}
}
return len_q;
}
실행 결과

'알고리즘 > 프로그래머스' 카테고리의 다른 글
| [프로그래머스][그리디][C++] 큰 수 만들기 (0) | 2020.07.06 |
|---|---|
| [프로그래머스][그리디][C++] 조이스틱 (0) | 2020.07.04 |
| [프로그래머스][스택/큐][C++] 다리를 지나는 트럭 (0) | 2020.06.28 |
| [프로그래머스][이분탐색][C++] 예산 (0) | 2020.06.27 |
| [프로그래머스][DP][C++] N으로 표현 (1) | 2020.06.27 |
Comments